Rasyonel Sayılarla Çok Adımlı İşlemler PDF Test İndir

Rasyonel Sayılarla Çok Adımlı İşlemler PDF Test İndir
Sınıf 7.Sınıf
İNDİR 480
Dosya Boyutu 180kb
Dosya Sayısı 1
Eklenme tarihi 5 Aralık 2020
Son Güncelleme 5 Aralık 2020
İNDİR
or download free
[free_download_btn]

İçerik Açıklaması

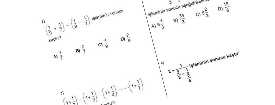
Rasyonel sayılarla çok adımlı işlemler testini sayfamızdan indirebilirsiniz. Rasyonel sayılarla iki ve daha fazla işlem rasyonel sayılarla çok adımlı işlemlerin konusudur. Testteki soruları çözerek bu konuyu daha iyi anlayabilirsiniz. Cevabını istediğiniz soruyu yorumlayın anlatımlı olarak dönüş sağlayalım.

Rasyonel Sayılarla Çok Adımlı İşlemler PDF Test İndirmek için sayfamızı kullanabilirsiniz. Diğer testlerimizden de faydalanabilirsiniz.

[changelog]

Categories & Tags

Similar Downloads

No related download found!
Mehmet Ali

Mehmet Ali

1fen1mat.com olarak branşımız gereği başta ortaokul matematik ve fen bilimleri öğretmenleri için gerekli dosya dokümanlarla birlikte yetişebildiğimiz kadarıyla diğer branş derslere ait dosyalarla da sizlere hizmet etmeyi amaçlıyoruz. Lazım olan dosya doküman için bizimle iletişime geçmeniz yeterli. Tüm paylaşımlarımız ücretsizdir. Mehmet Ali UZ - Matematik Öğretmeni Abdullah YEŞİLYURT-Matematik Öğretmeni

Bir yanıt yazın

E-posta adresiniz yayınlanmayacak. Gerekli alanlar * ile işaretlenmişlerdir